Tanja@Fab Academy 2018

Final Project Documentation




2. Sensors and Electronic Componenets

Sensors Charachteristics



1. HCHO (VOC) sensor



Following VOC sensor I have choosen for my final project: Grove Seeds Studio.


Folowing data and images I found in the data sheet of the sensor manufacturer Winson :


















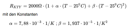
2. Temperature sensor



Grove temperature sensor v1.2 Seeds Studio .















3. Dust sensor














4. Stepper Motor and RGB LED





Design of the Board and Power Devider

In week6 I designed and milled one fab kit with the same layout as the second one which I was using for my final project. Just a few hours before the final presentation I became the problem with one FTDI pin of my board. As I switched the connector out of it to connect it with the right pin I pulled it out of the board. The reason for that was probably bad soldering technik I used as I made it. Daniel Bruns helped me to solder it right. But it still could not programm it using new code for LED, stepper motor and sensors. I was to excited because of the presentation and because I had to make a movie for that evening to. So I totaly forgott that I had another finished board which I could have used.

The following images show the Board layout in Eagle and the same board layout exported from eagle to Fusion 360.





This connector I have choosen for the connection between sensors and the divider board:



The following images show the steps of exporting the the power devider CAM Job from Eagle to LPKF milling software:







First and second board I have milled were not milled propperly s to see in the image below. The reason for this was not the right setting of the gauge track and overdued maintanance of the machine.





Christoph and Daniel were so friendly and did the maintenance of the LPKF milling machine and the gauge adjustment. Then everything went well. I'm very grateful for that.

The following images show the view through the microscope at the footprint of pinhaeder, and finished power devider.





Downloads


Eagle Board design ATmega328p download
Power Divider Eagle Board design download